攻略教程 第2950页

六年级胸算大吗图宝宝知道相关内容探讨

六年级胸算大吗图宝宝知道相关内容探讨

攻略教程 230
在孩子的成长过程中,身体发育是一个自然而复杂的过程。对于六年级的孩子来说,胸部开始发育是正常的生理现象之一。这个阶段的孩子对于身体变化可能还不太了解,家长和老师也可能会因为缺乏相关知识而感到困惑。将围绕“六年级胸算大吗”这一热词,探讨孩子身体发育的相关问题,希望能为家长和老师提供一些有用的信息和建议。 了解...
大象国精产品一品二品最新版竟只能会员访问:会员专享版

大象国精产品一品二品最新版竟只能会员访问:会员专享版

攻略教程 94
在当今数字化的时代,各种精产品层出不穷,而大象国的精产品一品二品最新版更是备受关注。令人遗憾的是,这款备受期待的产品竟只能会员访问,这究竟是为何呢?它又有着怎样的独特魅力与价值呢? 我们来探讨一下为什么这款产品只能会员访问。从一个侧面来看,这恰恰体现了其对内容质量的高度重视。大象国深知,只有提供真正有价值、...
tobu7tobu8HDAPP:畅享高清精彩内容

tobu7tobu8HDAPP:畅享高清精彩内容

攻略教程 199
以下是生成的一篇围绕“tobu7tobu8HDAPP:畅享高清精彩内容” 在如今数字化的时代,各种应用软件层出不穷,为我们的生活带来了无尽的便利和娱乐。其中,tobu7tobu8HDAPP 以其提供的高清精彩内容,吸引了众多用户的目光。 当我们提及高清精彩内容,首先映入脑海的便是那清晰逼真、色彩鲜艳的画面...
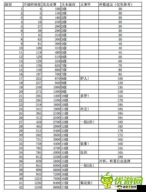
海岛奇兵高端进阶冲杯的实用技巧与详细经验分享指南

海岛奇兵高端进阶冲杯的实用技巧与详细经验分享指南

攻略教程 109
在海岛奇兵这款备受欢迎的策略游戏中,冲杯是众多玩家追求的目标之一。冲杯不仅代表着实力的象征,还能带来丰厚的奖励和成就感。要想在海岛奇兵中实现高端进阶冲杯并非易事,需要掌握一系列实用技巧和积累丰富的经验。下面就为大家分享一份海岛奇兵高端进阶冲杯的实用技巧与详细经验指南。 基础技巧 1. 建筑布局 合理的建...
阿拉德之怒:详尽解析如何向好友发送装备的技巧与步骤

阿拉德之怒:详尽解析如何向好友发送装备的技巧与步骤

攻略教程 135
在阿拉德之怒这款游戏中,玩家可以通过各种方式获得装备,而如何向好友发送装备则成为许多玩家关注的焦点。本文将从发送装备的条件步骤注意事项等方面进行详细解析,帮助大家更好地进行游戏交互。 发送装备的条件 在阿拉德之怒中,玩家需要满足以下条件才能向好友发送装备: 1. 好友关系:发送装备的玩家与接收装备的玩家...
姑父有力挺送场面一度失控:原因何在

姑父有力挺送场面一度失控:原因何在

攻略教程 98
在生活中,我们常常会遇到各种意想不到的场面,有些场面甚至会因为某些因素而变得失控。最近就发生了一件令人瞩目的事情,姑父的有力挺送,竟然导致场面一度失控,这背后的原因值得我们深入探究。 事情的起因是一场重要的家庭聚会,在这个聚会上,各方亲友齐聚一堂。其中,一位年轻的家庭成员面临着一个重要的抉择,而他的姑父在此...
汉字找茬王孩子的心愿帮助留守儿童详细完整攻略指南

汉字找茬王孩子的心愿帮助留守儿童详细完整攻略指南

攻略教程 117
在当今社会,留守儿童是一个不容忽视的群体,他们的成长和发展牵动着无数人的心。汉字找茬王中孩子的心愿更是唤起了我们对这群特殊孩子的关注与关爱。以下是一份详细完整的攻略指南,旨在帮助我们更好地去帮助留守儿童。 了解留守儿童现状 要想有效地帮助留守儿童,首先必须深入了解他们所处的现状。留守儿童通常是由于父母外出...
2021 精品一卡 2 卡 3 卡 4 卡全站内容每日准时更新:优质资源持续分享

2021 精品一卡 2 卡 3 卡 4 卡全站内容每日准时更新:优质资源持续分享

攻略教程 94
2021 精品一卡 2 卡 3 卡 4 卡全站内容每日准时更新:优质资源持续分享 在当今数字化时代,人们对于各种优质内容的需求日益增长。而 2021 年的精品一卡 2 卡 3 卡 4 卡全站内容凭借其每日准时更新以及持续分享优质资源的特点,无疑成为了众多用户关注的焦点。 对于喜欢探索新奇事物的读者来说,这...
探秘不思议迷宫:豪华蘑菇宴攻略地图阵容搭配食材来源与定向越野打法全解析

探秘不思议迷宫:豪华蘑菇宴攻略地图阵容搭配食材来源与定向越野打法全解析

攻略教程 111
在《不思议迷宫》这款游戏中,豪华蘑菇宴是项重要的任务,涉及到地图的探索。这份地图是我们攻略的基石,必须对其有深入的了解。地图上,你会看到各种各样的区域,每个区域都有其独特的蘑菇种类和生长环境。以下是关于地图的些基本攻略: 1. 地图分区:游戏地图被分为多个区域,每个区域都有其特定的蘑菇生长点。你需要按照区域...
办公室强肝是好事还是恶性:探讨其影响

办公室强肝是好事还是恶性:探讨其影响

攻略教程 105
在当今快节奏的工作环境中,保持肝脏的健康显得尤为重要。而办公室强肝,作为一种常见的健康理念,引起了人们的关注。对于办公室强肝是好事还是恶性,我们需要进行深入的探讨。 一方面,办公室强肝的理念强调了在办公室环境中采取一系列措施来保护肝脏的健康。这包括合理的饮食、适度的运动、减少饮酒和戒烟等。这些措施的目的是预...
18 岁女生学 hiphop 还是爵士:谁更适合青春的律动

18 岁女生学 hiphop 还是爵士:谁更适合青春的律动

攻略教程 129
18 岁的女生正处于青春活力的阶段,学习 hiphop 或爵士都可以展现出青春的律动。选择哪种舞蹈更适合个人的兴趣和身体条件是很重要的。将围绕这两个舞种进行分析,帮助 18 岁的女生找到更适合自己的舞蹈。 我们来了解一下 hiphop 和爵士的特点。Hiphop 起源于 20 世纪 70 年代的美国纽约,是...
国精产品 48X 国精产品:优质产品推荐

国精产品 48X 国精产品:优质产品推荐

攻略教程 101
在当今丰富多彩的市场中,国精产品 48X 犹如一颗璀璨的明星,以其卓越的品质和独特的魅力吸引着众多消费者的目光。无论是追求品质生活的人们,还是注重实用性与创新性的用户,都能在国精产品 48X 中找到满足自己需求的那一份惊喜。 国精产品 48X 之所以能够脱颖而出,首先得益于其对品质的极致追求。从原材料的精心...
久久国产日韩精华液:高效保湿、提亮肤色、延缓衰老

久久国产日韩精华液:高效保湿、提亮肤色、延缓衰老

攻略教程 98
久久国产日韩精华液:高效保湿、提亮肤色、延缓衰老的神奇之旅 在当今的护肤领域,精华液无疑是众多爱美人士的心头好。而久久国产日韩精华液,凭借其高效保湿、提亮肤色、延缓衰老的卓越功效,成为了市场上备受瞩目的明星产品。 让我们来聊聊高效保湿这个关键特性。我们的肌肤时刻都在与外界环境进行着水分的交换,干燥的空气、...
英雄无敌手游凤凰角色全面解析:技能属性优势及实战使用指南

英雄无敌手游凤凰角色全面解析:技能属性优势及实战使用指南

攻略教程 92
在英雄无敌手游中,凤凰角色以其独特的技能和属性,成为许多玩家关注的焦点。本文将为大家带来凤凰角色的全面解析,包括技能属性优势以及实战使用指南,帮助大家更好地掌握这角色,提升游戏体验。 凤凰角色技能属性概述 凤凰角色在英雄无敌手游中,拥有独特的技能和属性。其主要的技能包括烈焰焚烧涅槃重生和火焰护盾等。其中,...
热血传奇手游 7 月 15 日每日一题答案:骷髅精灵等级揭秘

热血传奇手游 7 月 15 日每日一题答案:骷髅精灵等级揭秘

攻略教程 152
在热血传奇手游的世界里,充满了无尽的神秘与挑战。其中,7 月 15 日每日一题答案所揭示的骷髅精灵等级,更是引发了众多玩家的热烈讨论与好奇。 骷髅精灵,这个在游戏中颇具传奇色彩的存在,一直以来都笼罩着一层神秘的面纱。它究竟有着怎样的等级,又在游戏的剧情发展中扮演着怎样重要的角色呢? 从每日一题的答案中我们...
成品短视频app源码的价格友:全面解析与比较

成品短视频app源码的价格友:全面解析与比较

攻略教程 93
好的,以下是生成的一篇关于“成品短视频 app 源码的价格:全面解析与比较” 在当今数字化时代,短视频应用如雨后春笋般涌现,成为了人们获取信息、娱乐消遣的重要方式。对于许多创业者和企业来说,拥有一款属于自己的短视频 app 无疑是极具吸引力的。而购买成品短视频 app 源码则成为了一种快速实现这一目标的途径...
在线学习好帮手:互动作业组

在线学习好帮手:互动作业组

攻略教程 96
在当今数字化的时代,在线学习已经成为了学生获取知识的重要途径之一。而在众多的在线学习工具中,互动作业组脱颖而出,成为了学生们的得力助手。 互动作业组为学生们提供了一个便捷高效的学习平台。它打破了时间和空间的限制,让学生们能够随时随地参与学习。无论是在家中、在学校还是在旅途中,只要有网络,学生们就能够登录互动...
小小影院电视剧在线观看被公开资源免费分享:畅享免费追剧

小小影院电视剧在线观看被公开资源免费分享:畅享免费追剧

攻略教程 95
在当今数字化的时代,影视娱乐已经成为人们生活中不可或缺的一部分。小小影院电视剧在线观看被公开资源免费分享这一现象,引起了广泛的关注和讨论。 一方面,对于很多观众来说,能够畅享免费追剧无疑具有极大的吸引力。在快节奏的现代生活中,人们希望能够轻松便捷地获得自己喜爱的电视剧内容,而不必为高额的会员费用或单独购买剧...
YSL 千人千色 AE86V10:独特魅力美妆

YSL 千人千色 AE86V10:独特魅力美妆

攻略教程 98
在这个充满个性与独特的时代,美妆不再是千篇一律的涂抹,而是展现个人魅力的艺术。YSL 千人千色 AE86V10 正是这一理念的完美诠释,它以其独特的魅力,为每一位使用者带来与众不同的美妆体验。 YSL 千人千色 AE86V10 的独特魅力 1. 色彩的魔法 YSL 千人千色 AE86V10 拥有一系列丰...
英雄封神快速刷钱秘籍 掌握这些技巧让你财源滚滚

英雄封神快速刷钱秘籍 掌握这些技巧让你财源滚滚

攻略教程 134
在英雄封神的世界里,拥有足够的财富是提升实力、称霸一方的关键。如何快速有效地积累财富并非易事。下面将揭示英雄封神的快速刷钱秘籍,掌握这些技巧,让您的财源滚滚而来。 任务与副本 游戏中的主线任务和支线任务是获取金钱的稳定来源。务必认真完成每一个任务,不仅能获得丰厚的金钱奖励,还能解锁更多的功能和玩法。各类副...